Czy są jakieś dofinansowania na aparat ortodontyczny? Sprawdź możliwości wsparcia
Sprawdź, czy są jakieś dofinansowania na aparat ortodontyczny. Poznaj możliwości wsparcia finansowego dla dzieci i młodzieży w Polsce.
Czy są jakieś dofinansowania na aparat ortodontyczny? Sprawdź możliwości wsparcia
Sprawdź, czy są jakieś dofinansowania na aparat ortodontyczny. Poznaj możliwości wsparcia finansowego dla dzieci i młodzieży w Polsce.
Jak sprawdzić dofinansowanie firmy i uniknąć błędów w wnioskach
Sprawdź dofinansowanie firmy w systemie SUDOP i uniknij błędów w wnioskach. Zwiększ swoje szanse na uzyskanie wsparcia finansowego.
Jak obliczyć dofinansowanie do turnusu rehabilitacyjnego i uniknąć strat
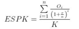
Oblicz dofinansowanie do turnusu rehabilitacyjnego, poznaj kryteria dochodowe i uniknij strat dzięki skutecznym strategiom wsparcia finansowego.
Dofinansowania dla osób niepełnosprawnych: Jak uzyskać wsparcie i uniknąć błędów
Dowiedz się, jakie są dofinansowania dla osób niepełnosprawnych i jak skutecznie ubiegać się o wsparcie. Sprawdź rodzaje pomocy, wymagane dokumenty i uniknij błędów.
Czy jest dofinansowanie do ocieplenia domu? Sprawdź, jak obniżyć koszty termomodernizacji
Czy jest dofinansowanie do ocieplenia domu? Sprawdź, jak uzyskać dotacje na termomodernizację, obniżyć koszty i skorzystać z programu Czyste Powietrze.
Jak założyć pasiekę i zdobyć dofinansowanie – praktyczne kroki i wymagania
Dowiedz się, jak założyć pasiekę i zdobyć dofinansowanie. Praktyczne kroki, wymagania formalne oraz dostępne programy unijne dla pszczelarzy.
Kto nie dostanie dofinansowania do pompy ciepła – uniknij odmowy i poznaj kryteria wykluczające
Dowiedz się, kto nie dostanie dofinansowania do pompy ciepła, poznaj kryteria wykluczające i uniknij odmowy. Sprawdź warunki i najczęstsze przyczyny odmowy dofinansowania.
Jak zdobyć dofinansowanie na firmę – praktyczne kroki i sprawdzone sposoby
Dowiedz się, jak dostać dofinansowanie na firmę – praktyczne kroki, programy unijne, rządowe dotacje i porady, które zwiększą Twoje szanse na sukces.
Kto pomoże wypełnić wniosek o dofinansowanie Czyste Powietrze bez błędów? Praktyczne porady
Dowiedz się, kto pomoże wypełnić wniosek o dofinansowanie Czyste Powietrze bez błędów. Praktyczne porady, wymagane dokumenty i pomoc doradców. Sprawdź!
Jak dostać dofinansowanie na domki letniskowe – praktyczne kroki i porady
Dowiedz się, jak dostać dofinansowanie na domki letniskowe – sprawdź programy, wymagania i kroki aplikacyjne. Praktyczne porady, które zwiększą Twoje szanse na sukces!
Jak uzyskać dofinansowanie do pompy ciepła bez zbędnych problemów i formalności
Dowiedz się, jak uzyskać dofinansowanie do pompy ciepła bez problemów. Sprawdź warunki, dokumenty i kroki, aby skorzystać z programu Czyste Powietrze i innych dotacji.
Gdzie złożyć wniosek o dofinansowanie na deszczówkę – krok po kroku i wymagane dokumenty
Dowiedz się, gdzie złożyć wniosek o dofinansowanie na deszczówkę, jakie dokumenty są potrzebne i jak uzyskać dotację na systemy retencji wody deszczowej. Sprawdź programy i terminy!
Kto może dostać dofinansowanie do roweru elektrycznego? Sprawdź kryteria i warunki
Dowiedz się, kto może skorzystać z dofinansowania do roweru elektrycznego. Sprawdź kryteria, warunki i programy wsparcia dla osób fizycznych, firm i samorządów.
Czy dofinansowanie z PFRON to przychód podatkowy? Sprawdź, jak uniknąć podatku!
Czy dofinansowanie z PFRON jest przychodem podatkowym? Dowiedz się, kiedy podlega opodatkowaniu i jak uniknąć podatku. Sprawdź przepisy i korzyści!
Na co można dostać dofinansowanie przy remont domu? Sprawdź programy i warunki!
Na co można dostać dofinansowanie przy remont domu? Sprawdź programy, warunki i rodzaje prac remontowych objętych wsparciem finansowym. Dowiedz się więcej!
Jak poprawnie wypełnić wniosek o dofinansowanie PFRON i uniknąć błędów
Dowiedz się, jak wypełnić wniosek o dofinansowanie ze środków PFRON krok po kroku, uniknąć błędów i zwiększyć szanse na pozytywne rozpatrzenie. Sprawdź wymagane dokumenty i zasady.
Kiedy decyzja o dofinansowaniu do żłobka i jak sprawdzić status wniosku
Dowiedz się, kiedy zapada decyzja o dofinansowaniu do żłobka, jak sprawdzić status wniosku oraz jakie dokumenty są potrzebne. Sprawdź terminy i uniknij błędów!
Czyste powietrze: jakie dofinansowanie możesz dostać i jak je zdobyć bez problemów
Czyste powietrze: jakie dofinansowanie możesz dostać? Sprawdź, jak uzyskać dotację na wymianę pieca, termomodernizację i OZE bez błędów.
Ile dofinansowania na firmę można uzyskać? Sprawdź aktualne możliwości i wymagania!
Dowiedz się, ile dofinansowania na firmę można uzyskać. Sprawdź aktualne programy, wymagania i kroki, aby skutecznie pozyskać środki na rozwój działalności.
Ile wynosi dofinansowanie do okularów? Sprawdź, ile możesz zaoszczędzić!
Ile wynosi dofinansowanie do okularów w 2023? Sprawdź, ile możesz zaoszczędzić dzięki refundacji NFZ, wsparciu pracodawcy lub prywatnym ubezpieczeniom.
Dofinansowanie do żłobka: do jakiego wieku dziecka możesz się ubiegać? Sprawdź teraz!
Dowiedz się, do jakiego wieku przysługuje dofinansowanie do żłobka, jakie są warunki i dokumenty. Sprawdź, ile możesz otrzymać i jak złożyć wniosek!
Jak złożyć wniosek o dofinansowanie do ogrzewania i uniknąć błędów – krok po kroku
Dowiedz się, jak złożyć wniosek o dofinansowanie do ogrzewania, jakie dokumenty są potrzebne i jak uniknąć błędów. Sprawdź terminy i programy wsparcia!
Jak napisać wniosek o dofinansowanie OSP bez błędów – praktyczny poradnik krok po kroku
Dowiedz się, jak napisać wniosek o dofinansowanie OSP bez błędów. Praktyczne wskazówki, wymagane dokumenty i przykładowy wzór wniosku w jednym miejscu.
Jak skutecznie umotywować wniosek o dofinansowanie studiów i uniknąć błędów
Dowiedz się, jak umotywować wniosek o dofinansowanie studiów, uniknąć błędów i zwiększyć szanse na wsparcie finansowe. Praktyczne porady i przykłady uzasadnień.
Kto pomoże wypełnić wniosek o dofinansowanie? Praktyczne porady i wsparcie
Dowiedz się, kto pomoże wypełnić wniosek o dofinansowanie. Praktyczne porady, koszty pomocy i wskazówki, jak uniknąć błędów. Sprawdź, gdzie uzyskać wsparcie!